近日,我所茶樹遺傳育種團隊在萘乙酸(NAA)誘導茶樹插穗不定根形成研究方面取得新進展。相關研究成果以“Integrated transcriptome and hormonal analysis of naphthalene acetic acid?induced adventitious root formation of tea cuttings (Camellia sinensis)”為題發表在國際知名期刊BMC Plant Biology上。
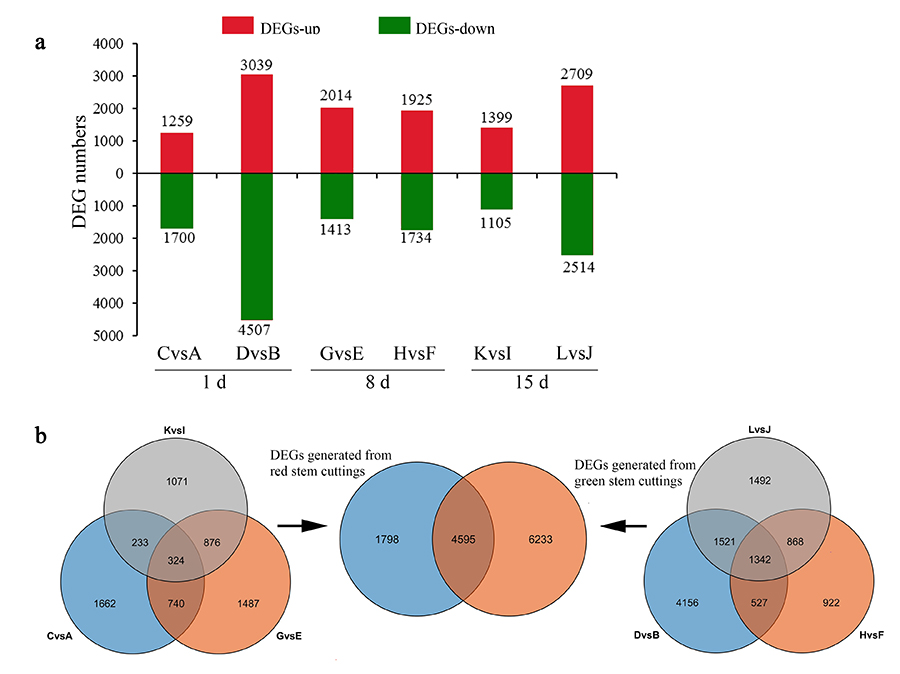
茶樹通常采用扦插繁殖來保證母株優良特性,不定根的形成是扦插繁殖成功的關鍵,而生長素是參與這一過程的重要因素。研究發現外源NAA(合成生長素)對茶樹紅梗和綠梗插穗不定根的形成都有明顯的促進作用。NAA降低內源生長素(IAA)和細胞分裂素 (TZR, trans-zeatin riboside) 含量。綠梗插穗中鑒定的DEG數量(NAA vs. CK)明顯高于紅梗,這與NAA處理下綠梗插穗有更高的生根率一致。NAA誘導的IAA和GH3基因的負反饋調節可以解釋內源生長素IAA的減少。NAA 降低細胞分裂素水平并進一步下調細胞分裂素信號相關基因的表達。通過加權基因共表達網絡分析(WGCNA),鑒定到CSLD2、SVL1和SAUR21等核心基因可能在茶樹插穗不定根形成過程中發揮重要作用。
我所王永鑫博士為論文第一作者,王麗鴛研究員、成浩研究員為通訊作者。該研究得到國家自然科學基金、現代農業產業技術體系建設專項、浙江省茶樹新品種選育重大科技專項等項目的支持。

圖1 NAA處理下鑒定到的差異基因數量

圖2 NAA特異模塊共表達網絡及基因表達